Este Terpeno es el responsable de los aromas que emanan del Eucalipto, la Menta, el Romero, el Árbol del Té, la Artemisa, las Hojas de Laurel, la Albahaca Dulce, la Salvia y ciertas variedades de marihuana. Este compuesto orgánico fue identificado en 1870 por François Stanislas Cloez.
Su aroma potente y refrescante, pero tambien picante, se ha usado en diferentes industrias y suele encontrarse en productos cosméticos, lociones, mezclas de aceites esenciales y bálsamos.

La función de los Terpenos es de defensa frente a agentes externos como insectos u otros animales. Estos organismos detestan los olores y sabores generados por los terpenos, de modo que no se acercan a las plantas.
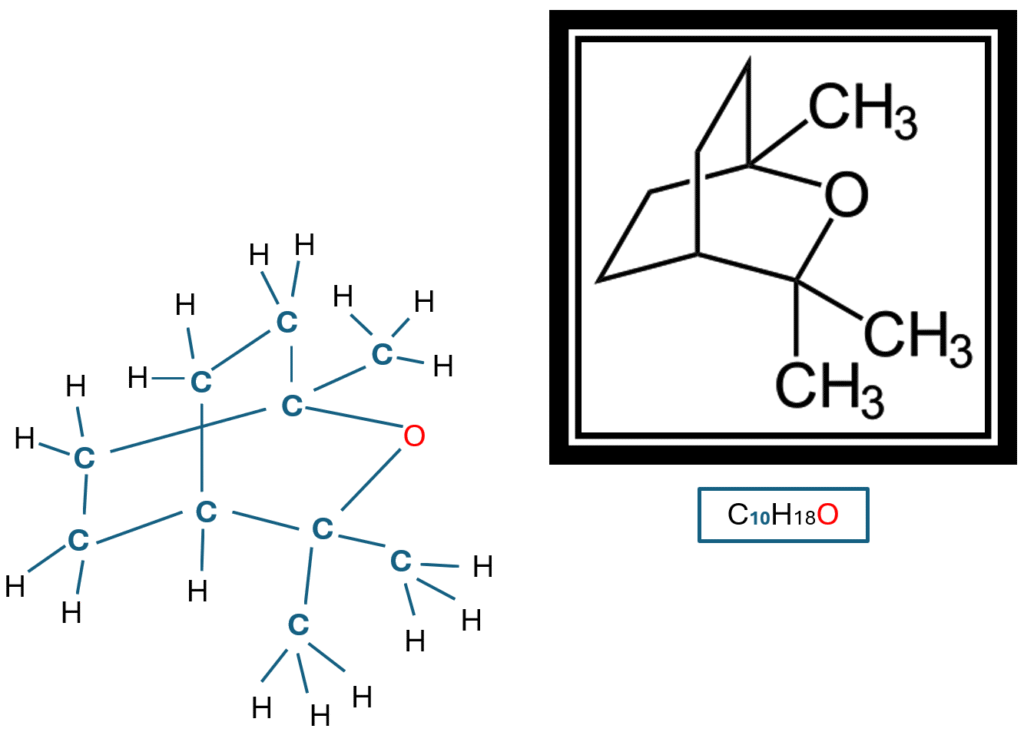
Estructura química del Cineol
La estructura molecular del Cineol, se trata de un monoterpeno. Los monoterpenos son conjugaciones de 10 átomos de hidrocarburo, debido a la sinergia de dos unidades de isoprenos.
Su punto de ebullición es de 176ºC (348,8F) y en apariencia es un líquido incoloro y transparente. No es posible su mezcla con agua pero sí con etanol (alcohol), cloroformo y otras sustancias químicas como el éter.
En las plantas de marihuana, el Cineol se genera en los tricomas. Y son las variedades sativa las que tienen mayores índices de presencia de este terpeno.

Sabor y Aroma del Cineol
Tanto el aroma como el sabor del Cineol es bastante mentolado, fresco y potente, también algo picante.
Efectos y Beneficios del Cineol
El Cineol se encuentra, sobre todo, en variedades sativas o con predominancia sativa. En concreto, la presencia de este terpeno en las sativas es del 5%, mientras que en las índicas es del 1%. Lo que significa que la sinergia de este terpeno con el THC es la que provoca el efecto estimulante psicoactivo en las variedades de marihuana.




