Althought Linalool isn’t present in high concentrations in most cannabis plants, it can significantly influence their aroma even in small amounts.

Linalool Chemistry

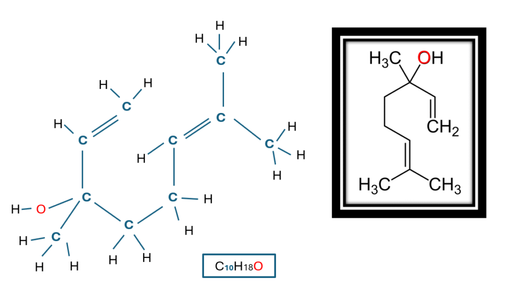
Chemically Terpenes are made up of small building blocks called isoprene units, which are structures containing five carbon atoms, eight hydrogen atoms, and two double bonds. Linalool is a monoterpene (made up of only two isoprene units), so its molecular formula is C10H18O; this places it in the category of structurally smaller terpenes and makes it highly volatile.

In adittion of functional group in the form of an oxygen atom converts Linalool into a terpenoid, which is a unique class of terpenes with a slightly modified chemical structure.

Linalool binds to the CB1 receptor of the endocannabinoid system, and since THC and other cannabinoids also bind to this receptor, it is possible that linalool acts synergistically with these molecules, contributing to the entourage effect theory.

This terpenoid is generally present in small concentrations in most cannabis strains, although some contain it in high levels.

This terpene is not exclusive to marijuana, as it is also found in other plants, such as lavender, basil, cilantro, mint, cinnamon, citrus fruits, lemongrass, and chamomile.

Fragance and Flavor of Linalool

Although generally is present in small amounts, Linalool contributes to the characteristic flavors and aromas of many marijuana strains. This includes floral notes of lavender, bergamot, spices, wood, and citrus. The flavor of this terpene is described as fruity, citrusy, and refreshing, with nuances of lemon, lime, herbs, and lavender.

Effects associated with Linalool in cannabis

Linalool may influencein the effects of certain marijuana strains in a unique way. The effects of this terpene are often described as calming, potentially enhancing the relaxing effects of cannabinoids like THC. Strains rich in Linalool are often associated with feelings of relaxation, joy, and euphoria.