El linalool, a pesar de no estar presente en grandes concentraciones en la mayoría de plantas de cannabis, puede influir considerablemente en su aroma incluso en pequeñas cantidades.

La química del Linalool
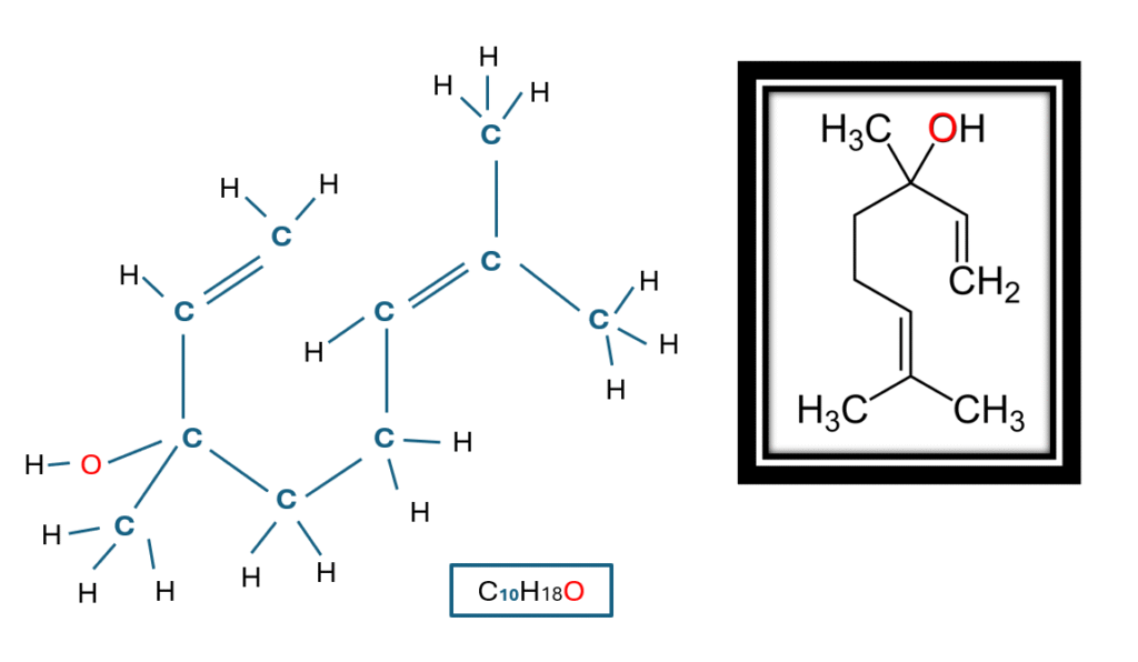
Desde el punto de vista químico, los terpenos están formados por pequeños bloques llamados unidades de isopreno, que son unas estructuras que contienen cinco átomos de carbono, ocho átomos de hidrógeno y dos enlaces dobles. El Linalool es un monoterpeno (formado únicamente por dos unidades de isopreno), por lo que su fórmula molecular es C10H18O; esto lo sitúa en la categoría de terpenos más pequeños estructuralmente y hace que sea muy volátil.
La adición de un grupo funcional en forma de átomo de oxígeno convierte al Linalool en un terpenoide, que es una clase única de terpenos con una estructura química ligeramente modificada.

El Linalool se une al receptor CB1 del sistema endocannabinoide y dado que el THC y otros cannabinoides también se unen a este receptor, cabe la posibilidad de que el Linalool actúe sinérgicamente con estas moléculas, contribuyendo a la teoría del efecto séquito.
Este terpenoide generalmente está presente en pequeñas concentraciones en la mayoría de variedades de cannabis, aunque si existen algunas que lo contienen en niveles elevados.
Este terpeno no es exclusivo de la marihuana, ya que también se encuentra en otras plantas, como la lavanda, albahaca, cilantro, menta, canela, cítricos, hierba de limón y manzanilla.

Aroma y sabor del terpeno Linalool
Pese a estar presente generalmente en cantidades pequeñas, el Linalool contribuye a los característicos sabores y aromas de muchas variedades de marihuana. Esto es, el olor a notas florales de lavanda, bergamota, especias, madera y cítricos. El sabor de este terpeno se describe como afrutado, cítrico y refrescante, con matices de limón, lima, hierbas y lavanda.
Efectos asociados al Linalool del cannabis
El Linalool podría influir de forma única en los efectos de ciertas variedades de marihuana. Los efectos de este terpeno suelen describirse como calmantes, aumentando potencialmente el efecto relajante de cannabinoides como el THC. Las variedades ricas en Linalool suelen asociarse a sensaciones de relajación, alegría y euforia.




