Pinene is one of approximately 30,000 Terpenes found in nature. It’s found in pine trees, various culinary herbs, and cannabis. It has spicy, sweet, and earthy aromas. Pinene also combines with THC to determine the effects of certain cannabis strains.

As a monoterpene, Pinene is a small, volatile compound made up of just two isoprene units (the building blocks of Terpenes).
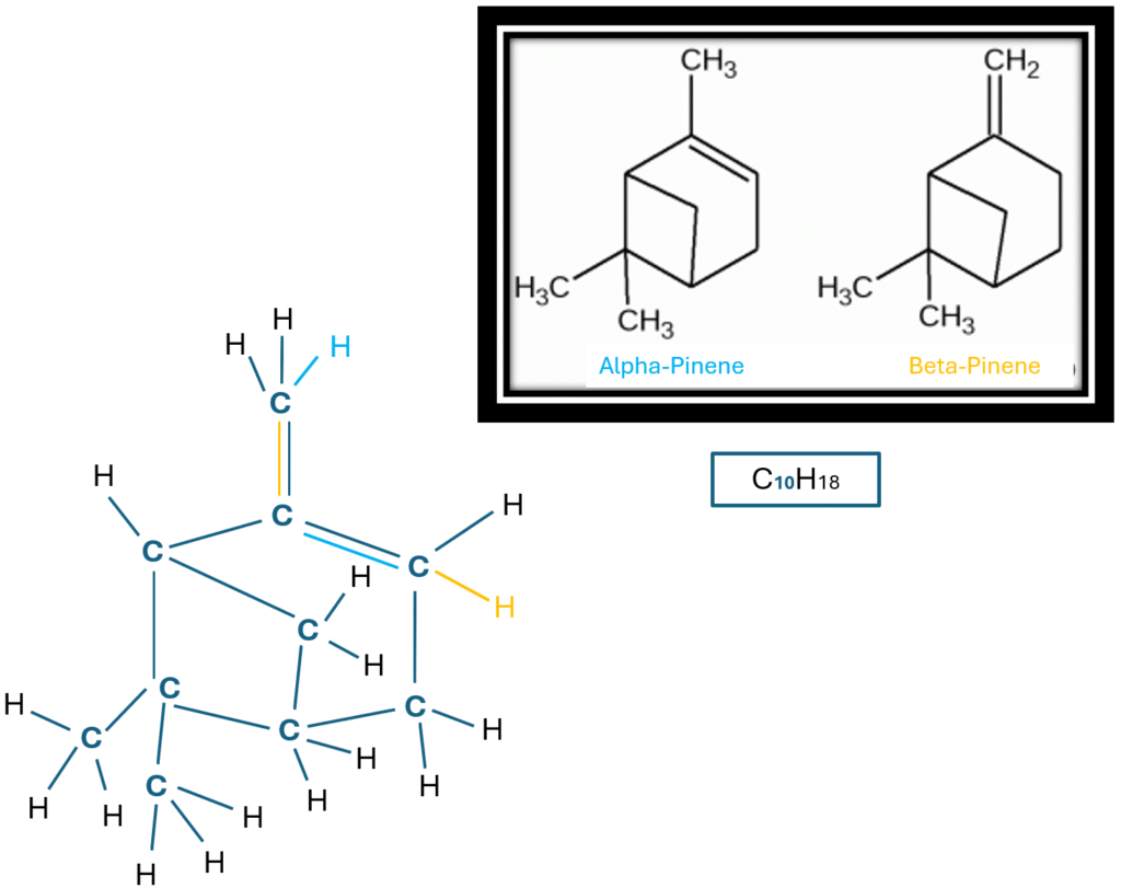
Pinene exists in two different isomers: alpha-Pinene and beta-Pinene. These molecules are not only found in cannabis plants; Pines, Rosemary, Dill, Basil, Eucalyptus, and Sage also produce Pinene.

A synergistic cannabimimetic Terpene
Cannabis components don’t work in isolation; rather, they act together through the entourage effect: some cannabis Terpenes, including Pinene, act on receptors in the endocannabinoid system through this cannabimimetic action; Pinene can activate the CB1 receptor, the same site that underpins the psychoactive effects of THC.
Pinene works synergistically with other cannabis compounds, such as THC and CBD, and may influence the effects of each strain.
Aroma and Flavor of Pinene and Differences between its Isomers
Both isomers offer distinctive but similar aromas and flavors.
Alpha-Pinene has an earthy, fresh and sweet aroma similar to Pine and the general ambiance of a forest. In terms of flavor, the Alpha offers sweet flavors combined with notes of Rosemary.
Beta-Pinene, on the other hand, offers more intense aromas and flavors of wood and spices, but fresh such as Dill, Pepper and Basil. Therefore, unlike Alpha-Pinene it is more herbal and earthy with spicy undertone of Pepper and Nutmeg.

The alpha Isomer is found primarily in Pine Resin but is also found in Eucalyptus and Rosemary Oil. In cannabis, this isomer is generally more abundant than Beta.
Beta-Pinene, although is also found in abundance in Pine Trees, is also very present in the essential oill of some herbs and spices such as Parsley, Celery, Bay Leaf and Nutmeg.
Effects of Pinene in Cannabis
Pinene does not induce euphoria but it can impove memory and concentration, as well as reduce some negative effects of THC such as short-term memory loss.
Additionally, Pinene is believed to have anti-inflammatory, analgesic, and anxiolytic properties and may help open the airways of your system.





