El Pineno es uno de los aproximadamente 30.000 Terpenos presentes en la naturaleza. Este se encuentra en los pinos, en varias hierbas culinarias y en el cannabis; sus aromas son especiados, dulces y terrosos, el Pineno también se combina con el THC para determinar los efectos de ciertas variedades de cannabis.

Como monoterpeno, el Pineno es un compuesto pequeño y volátil formado por solo dos unidades de isopreno, los componentes básicos de los terpenos.
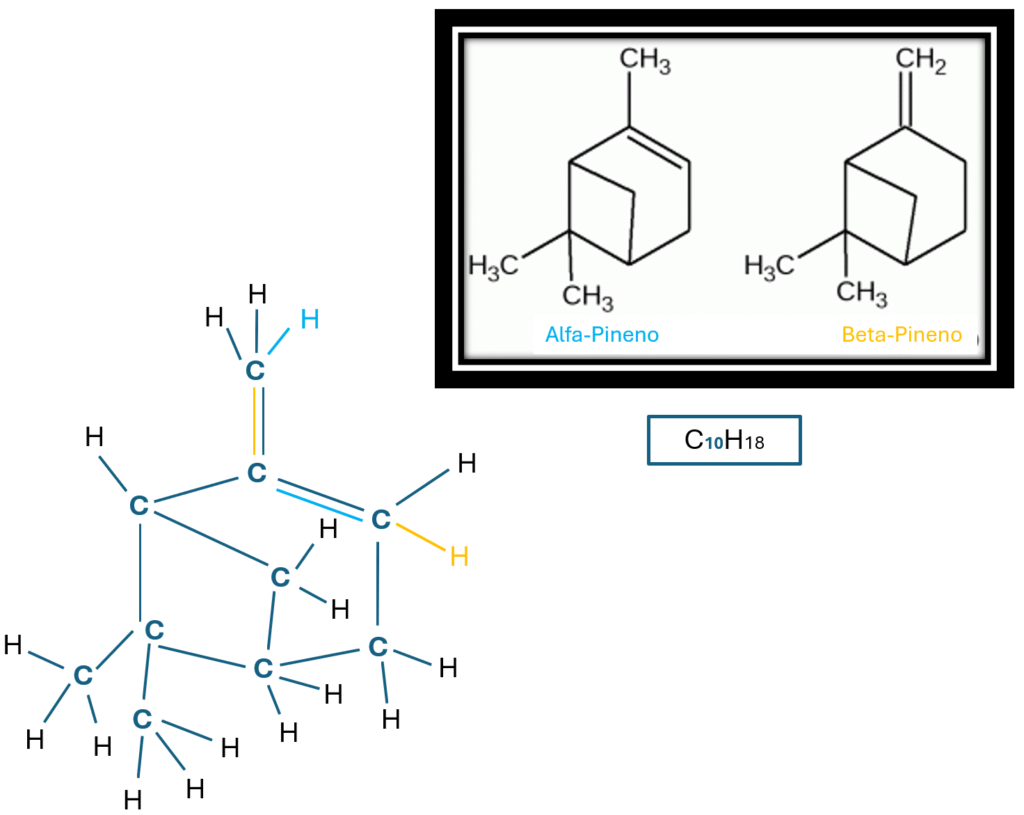
El Pineno existe en dos isómeros diferentes: alfa-Pineno y beta-Pineno . Estas moléculas no solo se encuentran en las plantas de cannabis; también los Pinos, el Romero, el Eneldo, la Albahaca, el Eucalipto y la Salvia producen Pineno.

Un terpeno cannabimimético sinérgico
Los componentes del cannabis no funcionan de forma aislada; más bien, actúan en conjunto a través del efecto séquito: algunos terpenos del cannabis, incluido el Pineno, actúan sobre receptores del sistema endocannabinoide a través de esta acción cannabimimética; el Pineno puede activar el receptor CB1, el mismo sitio que sustenta los efectos psicoactivos del THC.
El pineno funciona sinérgicamente con otros compuestos del cannabis, como el THC y el CBD y podría influir en los efectos de cada cepa.
Aroma y Sabor del pineno y diferencias entre sus isómeros
Ambos isómeros del Pineno ofrecen aromas y sabores distintivos, pero similares.
El alfa-Pineno tiene un aroma terroso, fresco y dulce, similar al pino y del ambiente general de un bosque. En cuanto al sabor, el alfa ofrece sabores dulces combinados con notas de romero.
El beta-pineno, en cambio, ofrece aromas y sabores más intensos a madera y especias pero fresco como, eneldo, pimienta y albahaca; por lo que, a diferencia del alfa, es más aromático a hierbas y terroso con un matiz especiado de pimienta y nuez moscada.

El isómero alfa se encuentra sobre todo en la resina de los pinos, pero también está en el eucalipto y en el aceite de romero. En el cannabis, este isómero suele ser más abundante que el beta pineno.
El beta-pineno aunque se encuentra también en abundancia en los pinos, también está muy presente en el aceite esencial de algunas hierbas y especias, como el Perejil, el Apio, el Laurel y la Nuez Moscada.
Efectos del pineno en el cannabis
El Pineno no induce euforia pero sí puede mejorar la memoria y la concentración, así como reducir algunos efectos negativos del THC, como la pérdida de memoria a corto plazo.
Además, se cree que el Pineno tiene propiedades antiinflamatorias, analgésicas y ansiolíticas, y puede ayudar a abrir las vías respiratorias.





